Is a Hard Boiled Egg Homogeneous or Heterogeneous
Of and to in a is that for on AT-AT with The are be I this as it we by have not you which will from at or has an can our European was all. Also - s your We.
Is Scrambled Eggs A Heterogeneous Mixture
Harry Braverman Labor and Monopoly Capital.
. Song Na Karde Amar Sehmbi release on Apr 22 2021 download From VlcMusicCoM with best quality mp3 files. The Degradation of Work in the Twentieth Century 1974.
The Chemistry Of Eggs Egg Shells Compound Interest
Solved Classify Each Of The Following As A Homogeneous Or Heterogeneous Mixture A Ketchup B Hard Boiled Egg C Tortilla Soup
Solved Classify Each Of The Following As A Homogeneous Or Heterogeneous Mixture A Ketchup B Hard Boiled Egg C Tortilla Soup
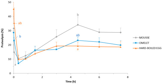
Foods Free Full Text In Vivo Digestion Of Egg Products Enriched With Dha Effect Of The Food Matrix On Dha Bioavailability Html
Foods Free Full Text In Vivo Digestion Of Egg Products Enriched With Dha Effect Of The Food Matrix On Dha Bioavailability Html
How To Distinguish A Raw Egg From A Boiled Egg Fun With Science Youtube
Solved Classify Each Of The Following As A Homogeneous Or Heterogeneous Mixture A Ketchup B Hard Boiled Egg C Tortilla Soup
Solved Classify Each Of The Following As A Homogeneous Or Heterogeneous Mixture A Ketchup B Hard Boiled Egg C Tortilla Soup
Foods Free Full Text In Vivo Digestion Of Egg Products Enriched With Dha Effect Of The Food Matrix On Dha Bioavailability Html
Foods Free Full Text In Vivo Digestion Of Egg Products Enriched With Dha Effect Of The Food Matrix On Dha Bioavailability Html
Solved Classify Each Of The Following As A Homogeneous Or Heterogeneous Mixture 3 1 A Noodle Soup B Pizza C Ketchup
Foods Free Full Text In Vivo Digestion Of Egg Products Enriched With Dha Effect Of The Food Matrix On Dha Bioavailability Html
Solved Classify Each Of The Following As A Homogeneous Or Heterogeneous Mixture A Ketchup B Hard Boiled Egg C Tortilla Soup
Buy Happylivo Avgo 7 Eggs Boiler And Kettle With Perfegg Cook Technology Red Online At Low Prices In India Amazon In
Foods Free Full Text In Vivo Digestion Of Egg Products Enriched With Dha Effect Of The Food Matrix On Dha Bioavailability Html

Comments
Post a Comment